インターネットスクール 『まなぶ』のe-ラーニングへ  yahoo  MSN  エキサイト  Google
辞書先頭ページへ戻る

トから始まる情報処理用語


00000071    ド・モルガンの法則
00000579    統計
00000678    トークンパッシング
00000054    トークンリング
00000423    特殊問題問題向け言語
00000380    特性要因図
00000630    独立事象
00000589    ドットネットフレームワーク
00000667    ドメイン
00000027    トランザクションファイル
00000173    トロイの木馬

71:ド・モルガンの法則       情報理論のグループ先頭へ    このページ先頭へ移動    辞典の先頭へ

論理値を算出する場合の法則の一つである。

『 NOT(A AND B)』 は、『 (NOT A) OR (NOT B)』 である。またはその逆が成り立つという法則。

文章の車を進める規則で考えて見る。(交通法規は無視してますが・・)
  『(信号が赤、そして 人いる)状態でない』なら「進んでもたぶん安全!」 ⇒ 『信号が赤でない、または人いない』なら「進んでもたぶん安全!」



表現を変えて見る。
『A AND B』 は、『NOT ((NOT A) OR (NOT B))』 

私は 賢く て もてる と言われる。 → 私は、 賢くない や もてない と 言われることはない。



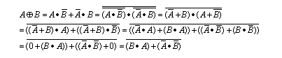
排他的論理和(eXclusive OR)の論理式は次のように変形できる。
図1


論理演算回路参照







579:統計       情報理論のグループ先頭へ    このページ先頭へ移動    辞典の先頭へ


平均では、バラツキが分からないが、標準偏差や分散を用いれば可能になる。
他に、データを評価する用語として次の用語がある。

メジアン(中央値) データを昇順または、降順に並べたときのまん中の値
モード(最頻値)  データの中でいちばん出現回数の多いデータ
レンジ(範囲)  データ中の最大値から最小値を引いた値



678:トークンパッシング        LAN・WANに関してのグループ先頭へ    このページ先頭へ移動    辞典の先頭へ
token passing

LANのアクセス制御方式のひとつです。(Ethernetで使われるCSMA/CDと並んで有名なアクセス制御方式になっています。)

トークンと呼ばれる信号を巡回させ、その信号を受け取ったコンピュータだけが信号を送れる方式です。

フリートークンと呼ばれる「送信権」データをネットワークを常に周回せます。
  取り込んだ時点だけ、そのホストデータを送信でき、このトークンはビジートークンと呼ばれます。
よって、同時に複数のフレームが「衝突」するこことがない仕組みになっています。

主にリング型で使われ、この場合はトークンリング方式と呼ばれ、バス型の場合はトークンバス方式と呼ばれます。


54:トークンリング       LAN・WANに関してのグループ先頭へ    このページ先頭へ移動    辞典の先頭へ
Token Ring

イーサーネット以外に使われていたLANで、トークンリングと呼ばれるものがありました。

イーサネットでは、フレームの衝突が起きることがあります。よって、衝突を検出する仕組みが必要となります。

対して、トークンリングでは、フリートークンと呼ばれる情報を受け取ったマシンだけが、トークンに情報を載せて送信できます。
よって出力の衝突が起きることがなく、効率的な送信が可能となります。

HUBが高価であることや、転送速度(4M/16Mbps)が遅いため、現在ほとんど使われませんが、この考え方を発展させてFDDI(Fiber-Distributed Data Interface)が生まれています。

なお、情報が載ったトークンはビジートークンと呼ばれ、自分宛のアドレスである場合だけ取り込める仕組みになっています。
以下に、フリートークンとビジートークンの概要構造を示します。
フリートークン
図1


ビジートークン
図2


423:特殊問題問題向け言語       システム開発で使われる言語関連のグループ先頭へ    このページ先頭へ移動    辞典の先頭へ
特定分野の言語
シュミレーション用:GPSS,DYNAMO
統計処理用:SAS
数式処理用:FORMAC
数値制御用:APT
構造解析用:COGO,STRESS


380:特性要因図       情報化戦略のグループ先頭へ    このページ先頭へ移動    辞典の先頭へ
cause-and-effect diagram QC七つ道具の一つ
問題とする特性と,それに影響を及ぼしていると思われる要因との関連を整理して,魚の骨のような図で体系的にまとめたものです。

作成する場合、ブレーンストーミングを行い,それによって収集した情報を相互の関連によってグループ化し,解決すべき問題点を明確にする方法の一つに利用されます。
図1

一般には次のように、ブレーンストーミングで収集した要因を大骨、中骨、子骨と分類して行く。

(1)問題点などの評価対象である特性を決める。(背骨の矢印)
(2)ブレーンストーミングを行って要因を列挙する。
(3)それによって収集した情報(要因)をグループ化して整理する。
(4)得られた要因の特性を中骨として、(2)、(3)と、原因を掘り下げて解決すべき問題点を明確にして行く。



630:独立事象       情報理論のグループ先頭へ    このページ先頭へ移動    辞典の先頭へ

一方の生起確率が他方の生起確率に影響しないとき,両 事象は独立であると言う。

P(X) は事象 X が起こる確率を表し, 事象Aと事象Bに対して A ∪ B で和事象、 X ∩ Y で積事象を表現するとすると、
事象Aと事象Bが独立である時、次の式が成立する。

P ( A ∩ B ) = P ( A ) × P ( B )

しかし、P ( A ∪ B ) = P ( A )+ P ( B ) は成立しない。

サイコロとコインをそれぞれ投げた場合を考えてみよう。
図1


コイン表が出る確率が1/2で、サイコロの5が出る確率は1/6である。
同時に起きる確率は=1/12になる。

図2


対して、表が出るかまたは5が出る確率は、1/2+1/6=3/6+1/6=4/6ではなく、図で数えると7/12と分かる。

589:ドットネットフレームワーク       オペレーティングシステムに関することのグループ先頭へ    このページ先頭へ移動    辞典の先頭へ
.NET Framework(ドットネットフレームワーク)は、Microsoftによって2000年に分散アプリケーションを指向して開発されたOSの環境の一部である。
このSDK(Software Development Kit)では、あらゆるアプリケーションが開発できて、それで作成されたアプリケーションをこの.NET Framework環境で動かすことができる。
.NET Frameworkは将来的に、Windows以外のプラットホームでも実行できるとされ、JavaのVirtualマシンの位置付けに近いが、この上で動くアプリケーション開発には、VB.NET、VC.NET、C#.NET、.NET対応COBOL、.NET対応FORTRANと様々な種類の言語が使え、しかも容易に結合してアプリケーションが作れると言う。
その意味でJava言語でしか開発できないJava Virtual Machineと本質的に違う。

667:ドメイン       LAN・WANに関してのグループ先頭へ    このページ先頭へ移動    辞典の先頭へ

インターネット上に存在するコンピュータやネットワークにつけられる名前です。
実際には、IPアドレスが使われるわけですが、IPアドレスは人間にとって扱にくいので、この名前をIPアドレスに対応する名前でも使えるようにしているわけです。

ドメイン名は実世界の住所のような階層構造で「.」で区切られた右側からトップレベルドメイン、セカンドレベルドメイン、サードレベルドメイン呼ばれます。

トップレベルドメインは、大きく分けると国ごとに割り当てられるccTLD(country code Top Level Domain)とgTLD(generic Top Level Domain)の2種類あります。

よく使われるgTLD

com  commercialの略で商業用
org  orgaizationの略で非営利団体
net  networkの略
biz  businessの略
info informationの略


ccTLDの例

jp  日本
cn  中華人民共和国
kr  韓国
us  アメリカ合衆国
np  ネパール


ドメイン名は衝突をドメイン名の管理はICANNという組織で管理されています。この下部組織にNIC(Network Information Center)と呼ばれる非営利機関が
あり、ドメイン名とIPアドレスを管理しています。(日本では、JPNICと言う組織があります)

なお、各TLD(Top Level Domain)のデータベースを一括管理する組織を、レジストリと呼びます。
そしてドメイン登録サービスを行う業者をレジストラと言います。
レジストラは、TLD(Top Level Domain)のデータベースへ直接アクセスできる業者となります。

なお、ドメイン名とIPアドレスを対応させるシステムはDNSと呼んでいます。

27:トランザクションファイル       ファイル管理に関してのグループ先頭へ    このページ先頭へ移動    辞典の先頭へ
Transaction File

Transaction 直訳すると「処理、業務、取引」という意味

マスタファイルの更新情報を記録するファイル(更新ファイルや変動ファイルと呼ばれることあり)
逐次発生する一時的な情報記憶用ファイル


173:トロイの木馬       リスク管理のグループ先頭へ    このページ先頭へ移動    辞典の先頭へ

プログラムの一部をひそかに入れ替えて,本来の仕様どおりに機能させながら,データの不正コピー,悪用,改ざんなどの不正を意図的に実行させる方法。
ギリシャ軍とトロイア軍の戦いで、ギリシャ軍はトロイア軍を攻め切れず,戦場に大きな木馬を残していく。
トロイア軍はそれを戦利品として城に持ち帰り祝杯をあげていた。
しかしトロイア軍が寝静まったころ,その木馬に隠れていたギリシャ軍の兵士が城の門を開き,
攻撃を行った。この作戦でギリシャ軍が勝利を治める。
この作戦と同じように、一部に不正を働くプログラムをし込み、あたかもユーザーが欲しがりそうなプログラムに見せかけてハックする手法と言える。