インターネットスクール 『まなぶ』のe-ラーニングへ  yahoo  MSN  エキサイト  Google
辞書先頭ページへ戻る

フから始まる情報処理用語


00000436    ファイヤーウォール
00000334    ファイル
00000673    ファイル共有
00000018    ファイル編成
00000044    ファンクションポイント法
00000710    フーリエ級数
00000086    フールプルーフ
00000084    フェイルセーフ
00000085    フェイルソフト
00000135    フェッチサイクル
00000422    4GL
00000081    フォールトトレランス
00000533    フォント
00000233    複合棒グラフ
00000682    符号化表現
00000434    物理層
00000131    浮動小数点
00000706    踏み台攻撃
00000239    プラグアンドプレイ
00000333    フラグメンテーション
00000327    プリエンプション
00000055    ブリッジ
00000252    フリップフロップ
00000426    プリプロセッシング
00000285    プリンタ
00000307    Bluetooth
00000222    ブルートゥース
00000105    フレームリレー
00000066    ブレーンストーミング
00000429    ブロードキャスト
00000635    プログラミング
00000716    プログラミングパラダイム
00000026    プログラム
00000321    プログラム実行制御機能
00000392    プログラム設計
00000452    プログラミング言語
00000324    プロセス
00000545    プロセスID
00000568    プロセスプログラミング
00000260    ブロック
00000262    ブロック化因数
00000570    ブロック状態
00000286    プロッタ
00000646    フロッピーディスク
00000456    プロトコル
00000660    プロトコルスタック
00000603    プロポーザル
00000181    プロポーショナルフォント
00000183    分散処理システム
00000232    分布グラフ

436:ファイヤーウォール       ネットワークソフトのグループ先頭へ    このページ先頭へ移動    辞典の先頭へ
firewall
コンピュータネットワークへ外部から侵入されるのを防ぐシステム

334:ファイル       ファイル管理に関してのグループ先頭へ    このページ先頭へ移動    辞典の先頭へ
file  英単語からのイメージでは『ある目的で整理され、まとめられた書類』となる。
しかしコンピュータ用語として使う場合、WindowsやUnixの場合と、汎用機の場合では以下のように位置付けが大きく違う。
●WindowsやUnixの場合
 ハードディスクなどの補助記憶装置に記憶されるデータやプログラムで、オペレータの複製、削除、変更、移動の単位になる一つのまとまり言う。
 OSレベルでのファイル取り扱いは、バイトストリームと呼ばれ、単にバイトが並ぶだけの構造になっている。
汎用機の場合(IBM互換系メインフレームの場合)
 アプリケーションオペレーティングシステムとの間を媒介する論理的存在をファイルと呼んでいる。
 そして、補助記憶装置へ保存される実際のデータ集合体を『データセット(dataset)』と呼んで区別している。
 様々なファイル編成順編成ファイル直接編成ファイル索引編成ファイル区分編成ファイル、VSAMファイル)がOSレベルでサポートされる。
パソコンユーザーから見た場合、ファイルに対応する用語がデータセットになるが、汎用機では運用管理者の権限を持つ人だけしかデータセット(パソコンで言うところのファイル)を直接操作できない。
広い範囲でファイルを説明すると、プログラム実行から見た一つの操作対象になるデータ集合と言うことになるであろうが、少しあいまいである。
そこで、ファイルをまざまなな視点で以下に分類してみる。
用途や目的で分類

マスタファイル 処理において、基準となる参照用のファイル
トランザクションファイル 変動ファイルとも呼ばれ、逐次変動するデータを記憶するファイル
作業ファイル ワークファイルとも呼ばれ、処理の過程で必要となるファイル。一時的に使用する形態が多い(その場合は一時ファイルと呼ばれる)。
履歴ファイル 処理の順番や、発生したデータの順番などを記憶するファイル
バックアップファイル 主に使うファイルが壊れた場合でも、そのデータ喪失被害を抑えるため、別途に記憶するファイル

アクセス方式による分類

順次アクセス 記録されるデータの順番でしかアクセスしない。
直接アクセス ファイル内の任意位置にあるデータを自由にアクセスする。
動的アクセス 順次アクセスと直接アクセスの組み合わせたアクセス(特定レコードを直接アクセス後、そこより順次アクセスするイメージ)

ファイル構造による分類(ファイル編成

‐  順次アクセス 直接アクセス 動的アクセス
順編成ファイル  ○  ×   ×
直接編成ファイル  △  ○   ×
索引編成ファイル  ○  ○   
区分編成ファイル  目的が違う
VSAMファイル  ○  ○   

利用者による分類

システムファイル オペレーティングシステムが使うファイル
ユーザーファイル ユーザーが使うファイル

以上ように、実際には使用場面でさまざまな呼び方をしている。

673:ファイル共有       LAN・WANに関してのグループ先頭へ    このページ先頭へ移動    辞典の先頭へ

複数のユーザーで、サーバーにあるファイルを共有して使う形態を言います。
これにより、遠くにあるファイルを、あたかも自身のローカルマシンにあるファイルのように扱えることになります。

代表的なプロトコルとして、CIFS(Common Internert File System)があり、プリンタ共有のソフトでもあります。
これは、Windowsのファイル共有サービスプロトコルのSMB(Sever Message Block)から拡張されたものです。
(以前のSMBはMicrosoft社独自の非公開プロトコルでしたが、CIFSに統合されて公開されています。)

UNIXなどと共有するにはSamba(サンバ)と呼ばれるサービスプログラムをUNIXで走らせる必要があります。
なお、UNIXではNFS(Network File System)と呼ばれる分散ファイルシステムが標準のファイル共有システムになっています。

18:ファイル編成       ファイル管理に関してのグループ先頭へ    このページ先頭へ移動    辞典の先頭へ
編成とは、『個々のものを集めて、あるまとまりとすること』である。
即ち、個々のデータをコンピュータで扱うファイル内でどう記憶するかと言う構造である。
汎用機用の用語であるが、ファイルの種類を内部構造で論じる場合など、汎用機以外でも使われないことはない。
しかし、本質的にOSによって実際のファイル構造が大きく違うので、その違いをを踏まえて理解しなければならない。
汎用機では、アプリケーション内でファイル編成を構築することはほとんどしない。つまりOSレベルでこれら編成のファイルを区別し、アプリケーションではどの編成を使うか選択するだけで取り扱うのが普通である。対してWindowやUnixのOSでは単なるバイトの集まりがファイルになるのでアプリケーション内で構造を作るイメージになる。
いずれにしても、ファイル編成を論じる場合、レコードと呼ばれるプログラムからみたアクセス単位を使って論じることになる。

汎用機用語としてファイル編成を分類すると次のようになる。

順編成ファイル
直接編成ファイル
索引編成ファイル
区分編成ファイル
VSAM編成ファイル


44:ファンクションポイント法       要求分析・設計手法のグループ先頭へ    このページ先頭へ移動    辞典の先頭へ
Function Point法は、開発システムのユーザーに提供する機能に着目し、それぞれの回数、や重み付けなどの定量化を行って、それを開発工数の尺度にする方法である。
システムがユーザーに提供する機能は次のように分類される。
・外部入力
・外部出力
・内部論理ファイル
・外部インターフェイス
・外部参照

開発早期で見積もり可能なことから、利用組織が増えているらしい。



710:フーリエ級数       情報理論のグループ先頭へ    このページ先頭へ移動    辞典の先頭へ
フーリエ級数
(Fourier series)

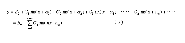
いま、y=f(x)の周期関数があって、独立変数 x のある任意の値に対する従属変数 y の値がただ一つしかない場合、
次の三角関数に展開でき、これをフーリエ級数といいます。

図1

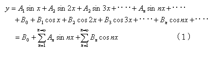
上記を変形しすると、次の式になります。


図2

この式に変換する過程をを以下に示します。
図3

これを(1)に使うと次のように変形できます。
図4


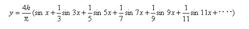
例で方形波を示します。振幅が2h 周期が2πで、次の式に展開できます。
図5

sin 15x の8項まで計算した波形は次のようになります。
図6


86:フールプルーフ       システムの経済性・信頼性のグループ先頭へ    このページ先頭へ移動    辞典の先頭へ
fool-proof
ヒューマンエラーを防ぐユーザーインターフェイス
不特定多数の利用者がいる場合に、意図しない使われ方をしても故障しない。

84:フェイルセーフ       システムの経済性・信頼性のグループ先頭へ    このページ先頭へ移動    辞典の先頭へ
fail safe
あらかじめ故障が起こることを想定し、被害を最小限にとどめるよう工夫しておくという安全思想
システムを考える場合、故障が発生しても、システム全体としては稼動可能する思索が必要になる。
特にヒューマンエラー対策は、フールプルーフと呼ばれる。
分散処理システムなどが代表例
85:フェイルソフト       システムの経済性・信頼性のグループ先頭へ    このページ先頭へ移動    辞典の先頭へ
システムの一部が故障しても、一部の性能や機能は低下するが継続してシステムを稼動できる仕組みの安全機能
故障が発生した場合、その部分を切り離して稼動状態を保つ。
デュプレックスシステムなどが代表例である。
135:フェッチサイクル       プロセッサーアーキテクチャに関してのグループ先頭へ    このページ先頭へ移動    辞典の先頭へ
fetch cycle
CPUが命令をメモリから取り出して、デーコード回路に送るまでのサイクル

422:4GL       システム開発で使われる言語関連のグループ先頭へ    このページ先頭へ移動    辞典の先頭へ
4th Generation Language
第4世代言語
実際に業務で使う人が、対話形式で開発ができるプログラミング言語

機械語が第1世代、アセンブリ言語が第2世代、高級言語が第3世代とした場合に対応した呼び方である。


81:フォールトトレランス       システムの経済性・信頼性のグループ先頭へ    このページ先頭へ移動    辞典の先頭へ
Fault-Tolerance
フォルトトレラント
システムの冗長性を持たせて信頼性を高める技術のことで、耐故障技術」とも言う。
これにより、故障してもシステムが停止することなく処理を継続し続けるシステムをフォールトトレランスシステムと言う。
ノンストップコンピュータに要求される技術といえる。

障害発生時の対応法として、フェイルセーフフェイルソフトがある。
533:フォント       情報システム基盤の標準化のグループ先頭へ    このページ先頭へ移動    辞典の先頭へ
font 文字の種類を示す。
一般に種類の名前を指す場合が多い。
大別すると次の2つに分類できる。

プロポーショナルフォント
等幅フォント(固定幅フォント)


フォントを表現する場合、TrueType や PostScript Type 1 などのフォントテクノロジが使われる。

なお、『MS ゴシック』はWindowsには標準でインストールされているフォントですが、他のOSでは通常用意されない。
つまり、Web関連で使う場合は、このような特定ベンダーの特有で使うフォント名を指定するのは好ましくない。
フォント指定で複数を併用指定が可能な場合は、HTML内のフォント一般名を指定すべきである。
HTMLなどのfontの一般名としては次のようなものがある。

serif  筆跡で、筆を放すときの細くなっていく部分をもつ。いわゆる『ひげ付きフォント』
sans-serif マジックで書いたような字体。いわゆる『ひげ無しフォント』
cursive  手書きのようなフォント
fantasy  装飾に使えるようなフォント
monospace  等幅のフォント


また、Java2などでは、物理フォントと論理フォントを区別しており、上記は、論理フォントの表現と言える。

物理フォント 実際のフォントライブラリであり、グリフデータおよび文字列とグリフ列のマッピングテーブルを含む
論理フォント Java プラットフォームで定義される、Serif、SansSerif、Monospaced、Dialog、、DialogInput の 5 つのフォントファミリ

233:複合棒グラフ       経営管理のグループ先頭へ    このページ先頭へ移動    辞典の先頭へ
複数の項目の時系列的な推移を見るときに使う
682:符号化表現       データの標準化のグループ先頭へ    このページ先頭へ移動    辞典の先頭へ
キャラクタセット charset とも呼ばれます。

文字符号化方式と符号化文字集合をまとめたものです。

コンピュータの中で記憶される文字情報も、物理的には0と1のバイナリ情報で管理されています。
実世界で使う文字に対するバイナリの対応付表を作って、その表にもと基づいて記憶されます。
(この対応表で決定されるコードは、文字コードとも呼ばれています。)
そしてこの表の規則が(文字コードの取り決め規則が)たくさん存在して、これが文字符号化方式(CES:character encoding scheme)と呼ばれています。
この文字符号化方式と、この取り決めの対象となる符号化文字集合をまとめたものを符号化表現またはキャラクタセットと呼びます。

例えば、実世界の『学』の文字をコンピュータ内で記憶する場合、Shift_JISと言うキャラクタセットでは16進数で、
『8A 77』の2byteが並ぶバイナリで記憶します。
しかし、同じ『学』の文字が、UTF-16と言うキャラクタセットでは16進数で、『5B 66』の2byteになります。


434:物理層       伝送制御の理論・プロトコルのグループ先頭へ    このページ先頭へ移動    辞典の先頭へ
OSI基本参照モデルの第1層

通信情報網を構成するハードウェアと言える。ここでは、様々なネットワーク伝送制御技術が使われている。


イーサネット(IEEE 802.3)、Token Ringネットワーク(IEEE 802.5)、FDDI、ATM、シリアル回線(PPP、SLIP)、無線LANなどが挙げられます。

様々な規格
ITU-T
 Iシリーズ勧告:ISDNインターフェイス
 Vシリーズ:勧告:電話回線通信規定(アナログ通信)
 Xシリーズ勧告:パケット交換網




131:浮動小数点       基数表現・データ表現のグループ先頭へ    このページ先頭へ移動    辞典の先頭へ
浮動小数点数(実数)Aは

図1

になる。

仮数部aのビット数が多いほど誤差が小さい(精度がよい)
指数部nのビット数が多いほど表現範囲が広い


10進数の場合 A = s×a.????? ×10のn乗 s=1 or -1(符号), a≠0
 例→ -654.321 は、 -1 × 6.54321 × 10の3

2進数の場合 A = s×a.?????? ×2のn乗 s=1 or -1(符号), a≠0
 例→0.0000010010111は、 1 × 1.0010111 ×2の-6乗

なお、2進数の仮数には、 常にa=1なので「暗黙の1」があると言うことで
実際の記憶では先頭の1を記憶しない方法が一般的に使われる。→IEEE754など

規格としてはIEEE754の32bit幅の単精度、64bit幅の倍精度が有名で、
ほとんどのC言語コンパイラのfloatとdouble型で採用されている。

単精度(32bit幅)
 符号部 に1bit、指数部eに8bit(バイアス)、可数部fに23bit の構成

倍精度(64bit幅)
 符号部 に1bit、指数部eに11bit(バイアス)、可数部fに52bit の構成

32bit幅の実数の表現は次のようになります。
図2

正規化されない数、無限大、NaNs の3 つが例外的演算(アンダフローとオーバフロー)を処理するために定義される。

括弧の中は倍精度
eが0でfが0→0.0
e=0の時、 fは暗黙の1を利用しない 。
 正規化時: 0指数算出
 非正規化時 e=0の時、 fは暗黙の1を利用しない 。NaNs
eが全て1、仮数部が0は∞
eが全て1、仮数部が0以外はNaN



706:踏み台攻撃       リスク管理のグループ先頭へ    このページ先頭へ移動    辞典の先頭へ

他人のサーバを、踏み台のように利用して、間接的に第三者に攻撃を行なうことです。

他人のメールサーバを不正利用して、大量のスパムメールを発信するなどが典型的な例です。

この場合、責任は踏み台にされたサーバーの管理者にも及びます。
というのは、「セキュリティ的に管理がしっかりできていない」と言う判断になります。

踏み台のサーバで攻撃された人が、踏み台のサーバを構築者に賠償を請求できます。
そして、踏み台にされた人が、踏み台にした人に賠償を請求する流れになるでしょう。

239:プラグアンドプレイ       入出力アーキテクチャのグループ先頭へ    このページ先頭へ移動    辞典の先頭へ
Plug and Play
略して PnP は人の手を何ら煩わすことなく、ハードウェアを接続(コネクタへ差し込む:Plug) するだけで、使用 (Play) できるようにする仕組みのこと。
PnP を実現するには、広い分野に渡る規格化、標準化が必要となる。

・機械的な接続上規格:コネクタ形状や、ピンの数、オスメスの区別等

・電気的に接続上規格:信号電位、タイミング、ハードウェア上のプロトコルなど

そして、最終的には接続の有無や接続された機器情報が、ソフトウェアで判別できる仕組みが必要で、しかもOSレベルで対応できなければならない。
その情報は種類、製造元、機器、改訂等であるがそれらは接続されている機種や PnP の規格に依存

PnP に対応したハードウェア
CPUメモリ、ISAPnP、PCIUSBSCSI-2、ATA-3、DDC、パラレルポート機器(IEEE1284)、PC Card(旧PCMCIA



333:フラグメンテーション       オペレーティングシステムに関することのグループ先頭へ    このページ先頭へ移動    辞典の先頭へ
fragmentation
断片化, 細分化のこと。
一般に記憶可能領域の中での使用領域が断片化した状態を言う。
記憶可能領域は、ハードディスクである場合もあれば、主記憶装置の場合もある。
いずれの場合であっても、領域を使用するための割り当てと、不要になった時に再使用のための開放が繰り返される時、
未使用状態の部分が分散してが断片化することを言う。これは、当然に割り当て時のサイズがまちまちであることから起こる。
フラグメンテーションが起きると、まとまって連続した記憶ができないため、効率が落ちる。


OSには、フラグメンテーションを解消する「デフラグ」(デフラグメンテーションの略)と呼ばれるユーティリティソフトが搭載されている。このソフトは、ディスク内のファイルを先頭から再配置し、ファイルの分割状態を解消して、連続した空き領域増やす。


コンパクション:



327:プリエンプション       オペレーティングシステムに関することのグループ先頭へ    このページ先頭へ移動    辞典の先頭へ
pre-emption 先買い?

タスク実行状態から実行可能状態へ移行することをプリエンプションとよぶ。
55:ブリッジ       通信装置のグループ先頭へ    このページ先頭へ移動    辞典の先頭へ
bridge

ブリッジは、OSI基本参照モデルの2層:データリンク層レベルでフレームと呼ばれるかたまりを中継する装置です。

LAN上のフレーム内のあて先MACアドレスを見て、そのフレームを他のセグメントに渡すかの判断を行います。

それは、接続ノードのMACアドレスを学習して、MACアドレステーブルに記憶し、転送の必要が無いフレームをせき止ることで実現されます。

具体的には、ブロードキャストを使って、応答したフレームからMACアドレスMACアドレステーブルに追加記憶していきます。
なおブリッジは、フレームのヘッダ情報を読み取るので、リピータHUBに比べるとすこし通信速度が落ちることになります。
しかし、不要な情報を遮断するので、フレームの衝突を軽減し、結果的に通信効率が上がることになります。


ブリッジは次の種類に分類することができます。


トランスペアレントブリッジ 同じアクセス制御方式のセグメントを橋渡しします。
変換ブリッジ  異なるアクセス制御方式のセグメントを橋渡しします。
エンキャプスレーションブリッジ LANLANの間にWANなどを通すための継用のブリッジです。
ソースルートブリッジ  トークンリング同士をつなぐブリッジです。

252:フリップフロップ       情報素子に関することがらのグループ先頭へ    このページ先頭へ移動    辞典の先頭へ
Flip−Flop
1ビットの論理情報を記憶するための回路で、順序回路の構成要素になる。

以下にセット/リセットフリップフロップの回路を示す。

一方を1にすると、0に戻しても対応する出力が1のまま残る。(記憶する)なお、この回路はsetとresetの両方を1にしてはならない。
図1

このセット/リセットフリップフロップを利用したデータラッチ回路を以下に示す。
図2

これは、clockが1(Hiのレベル)で、dataをQに記憶している。この考え方がメモリ1ビットを記憶する回路になっている。
しかし、これは、クロックが1と言うある範囲の間で入力が直接に出力に現れてしまう。
入力の状態をある瞬時に記憶させるように見せかけて、そのタイミングまで、フリップフロップの出力を前の状態に保たせる回路の方が他の回路(組み合わせ回路など)と強調が取りやすい。
この記憶と、出力に現れるタイミングをクロックの立ち上がりや立下りのエッジで行わせる形式をエッジトリガフリッププロップと呼ぶ。
次の回路はこのタイプの代表的回路で、マスター・スレーブフリッププロップ呼ばれる。
図3

この例では、クロックの立ち上がりエッジで、入力データが記憶され、出力に現れる。
一般にレジスタは、このエッジトリガフリッププロップで構成される。





426:プリプロセッシング       開発手法に関するのグループ先頭へ    このページ先頭へ移動    辞典の先頭へ
プリプロセッシングは,コンパイルの前に プリプロセッサ というツールによって行われる前処理である。この処理でソースファイルが一旦書き換えられることになる。# で始まる 疑似命令がこの対象になり、ファイルの取り込み ( #include),文字列の置換( #define),条件付きコンパイル ( #if, #else, #endif)などの機能がある。

285:プリンタ       入出力アーキテクチャのグループ先頭へ    このページ先頭へ移動    辞典の先頭へ
printer
コンピュータで作成したデータを紙やOHPシートなどに印刷する装置
次の2種類に大別される
●インパクト方式:印字ヘッドでインクリボンを紙に打ち付ける方式
●ノンインパクト方式:以下の様々な手法あり。
 〇熱転写プリンタ(thermal transfer printer) (この中で特にインクを昇華させて紙に付着させる方式昇華型プリンタ と呼ぶ)
 〇インクジェットプリンタ (ink jet printer)
   セイコーエプソン:圧電素子利用のマッハジェット方式
   キャノン:バブルジェット方式
 〇感熱式プリンタ (thermal printer)
 〇レーザープリンタ (laser printer)

次のように分類する場合もある。
●シリアルプリンタ (serial printer) :1文字ずつ、もしくは1ドットずつ印刷していく(個人向けのほとんどはシリアルプリンタ)
●ラインプリンタ (line printer):1行ずつ印刷していくプリンタ
●ページプリンタ (page printer):ページ単位で印刷を行なうことができるプリンタ

呼ばれることがある
1文字ずつ、もしくは1ドットずつ印刷していくプリンタの総称
よく使われる仕様に dpi 【Dot Per Inch】があり、インチあたりの画素数が使われる。
307:Bluetooth        入出力アーキテクチャのグループ先頭へ    このページ先頭へ移動    辞典の先頭へ
ブルートゥース
2.45GHz帯の電波を利用し、1Mbpsの速度で通信を行うことができる。

222:ブルートゥース       伝送技術・符号化のグループ先頭へ    このページ先頭へ移動    辞典の先頭へ
Bluetooth
無線を使ったネットワークに関する規格の一つで、IEEE 802.15.1の規格になっている。

通信できる最大距離は10メートル、通信速度も最大で1Mbpsで携帯情報端末、携帯電話などへの対応する。

機器(マウスやキーボードやレシーバー付きヘッドフォンなど)の種類ごとで策定されたプロトコルがあり、
これをプロファイル (Profile) と呼び標準化しているが、利用する機器の双方が適切なプロファイルに対応していないと接続できない。
初期設定時にペアリング情報(接続情報)を記憶することで、次回の起動時に再設定なしに再接続できるようになる。

この初期設定では、PC側でBluetooth機器を登録するための操作を行い、
Bluetooth機器側ではそれに応答する操作(一般に対応スイッチの長押し)を行い、
PC側で応答した機器を選んでそのペアリング情報を双方で記憶することで登録するするスタイルが多い。


なお、マルチペアリング機能対応機器と非対応機器が存在する。
マルチペアリングとは複数の機器のペアリング情報を保持・メモリーすることのできる機能のことで
複数のペアリング情報を記憶することで、異なるPCの接続を容易にするため機能と言える。
しかし、新しいペアリングを優先するため、他の機器に接続先を変更する場合は、元のペアリング先のBluetooth電源を切るなどをしないと
希望の変更ができないないこともある。複数の機器と切り替え接続できる機能はマルチポイントと呼ばれるようだ。

将来的にはテレビや電子レンジ、エアコンといった家電製品も接続できるようにする考えがあるが、
個人的見解としては、初期設定の操作性の悪さで難航すると考えている。


105:フレームリレー       通信装置のグループ先頭へ    このページ先頭へ移動    辞典の先頭へ
パケット通信方式の一つです。

データ伝送速度を上げる目的で、誤り時の再送信や流量制御を行わず、データリンク層でのデータ多重化をおこなわせることで、高速な伝送を可能にした方式です。

66:ブレーンストーミング       情報化戦略のグループ先頭へ    このページ先頭へ移動    辞典の先頭へ
1930年代後半にアメリカのオズボーンが提唱した会議の進め方
『ブレーンストーム状態』=精神的発作 (→参加メンバの気分を高揚させて、頭脳をフル回転させる状態)からネーミングされた。
批判禁止、自由奔放、質より量、結合改善(便乗歓迎) の4原則に則って会議を進める。
429:ブロードキャスト       伝送制御の理論・プロトコルのグループ先頭へ    このページ先頭へ移動    辞典の先頭へ
broadcast

特殊なアドレスを指定することによって、ネットワーク全体に送信すること。

各種、情報を持っているサーバを探す場合などに使われる。
小規模なネットワークで、名前解決に使われる一般的な方法でもある。
例えばUDPの137番ポートを使用してブロードキャストする。





635:プログラミング       開発手法に関するのグループ先頭へ    このページ先頭へ移動    辞典の先頭へ
programming
広い意味では、コンピュータへの指示・命令書やそのファイルを作る作業一般を指します。

システム開発のプロセスの一つで使われる場合、ウォータフォールモデルにおいては、プログラム設計の次の工程となり、次の作業を行います。

モージュール設計を行って、モジュール設計書を作成する。
コーディング
単体テスト計画書を作成する。


モジュール設計では、プログラム設計で分割した各モジュールの詳細な手順を、流れ図や擬似的な言語、または各種チャートを用いて設計することになります。
つまり、各モジュールに対するアルゴリズムの設計と言えます。











716:プログラミングパラダイム       開発手法に関するのグループ先頭へ    このページ先頭へ移動    辞典の先頭へ
programming paradigm

抽象的なアルゴリズムを、コンピュータが実行することのできるレベルにまで具象化するための思考法のことです。

計算モデルによって必要なプログラミングパラダイムも異なります。

関数型計算モデルで必要となるプログラミングパラダイムは「関数プログラミング」(functional programming) と呼ばれます。

論理型計算モデルで必要となるプログラミングパラダイムは「論理プログラミング」(logic programming) と呼ばればれます。

オブジェクト指向計算モデルで必要となるプログラミングパラダイムは「オブジェクト指向プログラミング」(object-oriented programming) と呼ばれます。

手続き型計算モデルで必要となるプログラミングパラダイムは「手続き型プログラミング」(procedural programming) と呼ばれます。


26:プログラム       システム開発で使われる言語関連のグループ先頭へ    このページ先頭へ移動    辞典の先頭へ
program 英単語では『行事計画やそれを記述したもの』になります。

コンピュータ用語としては、『コンピュータに対し、ある目的の処理を行わせるための指示(命令)を並べたもの』と言えます。

この命令の仕方には、大別すると様々な種類の規則があり、それらはプログラミング言語と呼ばれます。
(例えば、マシン語、C言語、Java言語・・・などたくさんの種類が存在します。)

そして、プログラムを作成することをプログラミングと呼び、作成する人をプログラマーと呼びます。




321:プログラム実行制御機能       オペレーティングシステムに関することのグループ先頭へ    このページ先頭へ移動    辞典の先頭へ
プログラム実行単位の名前やその定義範囲は、OSによって異なっている。
大きく分類すると、単一のプログラムを実行させ、それが終わってから次ぎのプログラムを実行させるシングルタスク(ユニプログラム)方式と、複数のプログラムを同時に実行させるマルチタスク方式に分かれるが、現在のほとんどはマルチタスクになっている。
いづれにしても、コンピュータはタスクと呼ばれるプログラムを実行させて処理される。

まず汎用機では、ジョブと呼ばれる単位で管理される。(ジョブは、一般的に複数のタスクで処理される)
 ジョブは、、JCLで指示され、ジョブ管理プログラムで自動実行される。


392:プログラム設計       開発手法に関するのグループ先頭へ    このページ先頭へ移動    辞典の先頭へ
システム開発のプロセスの一つで、ウォータフォールモデルにおいては、内部設計の次の工程となります。

プログラム設計におけるメイン作業は、内部設計で分割した処理単位モジュール単位に分割することです。そして最終的にプログラム設計書を作成します。
ここでの分割は、機能により行われますが、その基準として次の事柄が挙げられます。

1. 大きさ(ステップ数)
2. 階層構造の深さ(階層レベル)
3. 構造の広がり(ファンアウト数)
4. インターフェイス(パラメタの数) などの観点から分割する。

モジュール分割のメリットとメリットを以下にまとめました。

分かりやすくする。 作業効率Up,保守性Up,品質Up
部品化する。  拡張性Up(再利用のしやすさ),生産性Up(多人数でできる)

そのため指針として構造化と、独立化が挙げられます。
構造化とは次のように、モジュールを階層構造で分割することです。
図1


プログラム設計技法として、以下の手法が挙げられます。
\\\\表
STS分割技法 データの流れに着目
TR分割技法 データの流れに着目
共通個能分割技法 データの流れに着目
ジャクソン法 データ構造に着目
ワーニエ法 データ構造に着目
\\\\\

なお、保守性の目安として、モジュール強度とモジュール間結合度が使われることがあります。




452:プログラミング言語       プログラミング、テスト、レビューに関してのグループ先頭へ    このページ先頭へ移動    辞典の先頭へ
programming language
コンピュータが実行する場合、全てマシン語で実行している。
つまり、最終的にはマシン語に変換しなければなららない。
(このマシン語に変換するなどしてある言語で書かれたプログラムを実行できるように処理するものを、『言語プロセッサ』と呼ぶ。)
大きく分類すると次の2種類に分類できる。
・ソースプログラムを翻訳しながら実行する→インタプリタ
・翻訳して実行可能ファイルを作成してから実行する。→アセンブラ、C、COBOL、RGP(Report Program Generator)
他にも言語の分類の仕方は様々で、以下に大系化してみる。

言語--+--+---汎用プログラミング言語-+-低水準---- アセンブラ
      |  |                          | (Low Level Language)
      |  |              +-高水準-+---+--手続き言語(COBOL,C言語,FORTRAN.Pascal)
      |  |         (Hight Level Language)|   |
      |  |                       |   +--非手続き言語(RPG,LISP,Prolog)
      |  |                       |
      |  |                       +---+--コンパイラCOBOL,C言語,FORTRAN.Pascal,RPG,etc)
      |  |                       |   |
      |  |                       |   +--インタプリタ(単なるBasic、Perl)
      |  |                       |      Script言語とよれる場合もある?
      |  |                       |
      |  |                       +---オブジェクト指向言語(Java, C#, C++)
      |  |                           
      |  +---特殊問題向き言語(GPSS,FORMAC,COGO,SAS)
      |             
      +--+--第1世代言語:マシン語
     |
         +--第2世代言語:アセンブラ
     |
     +--第3世代言語:コンパイラ、インタプリタ  
     |
     +--第4世代言語:エンドユーザー向け言語(エンドユーザーでも容易に作成可能)(ORACLE8 PL/SQL) 

Javaは、ソースから実行に至る間にコンパイラを必要とするが、バイトコードと言う翻訳済みの中間コードを解釈しながら進むので本質的にはインタープリタ型と言える。
Perlはスクリプト言語と呼ばれているが、手続き言語であり、オブジェクト指向言語でもある。
このように既存の言語を明確に分類できない場合もある。
ようは各特長を知ることで、開発するシステムに対して、使用する言語を適確に選択するのに、これら知識が役立つ。

324:プロセス       オペレーティングシステムに関することのグループ先頭へ    このページ先頭へ移動    辞典の先頭へ
process
タスク
545:プロセスID       Linux関連のグループ先頭へ    このページ先頭へ移動    辞典の先頭へ
Linuxでは、プロセス生成 (fork)時にシステム内でユニークになるようにな番号をLinuxカーネルが割り当てる。
この番号をプロセスIDと言う。
プロセスプロセスIDの他に、プロセスグループID、セッションIDを持つ。
ます、shellがセッションを開き、その中で起動するジョブ(パイプで繋げられたコマンド群)毎にプロセスグループを作っている。
これら生成時に各IDがつけらている。セッションIDはセキュリティを強固にするために追加されたもので、セッションリーダはプロセスグループリーダを兼ねる。
(セッションIDの中に複数のグループIDが含まれる)

568:プロセスプログラミング       C言語のグループ先頭へ    このページ先頭へ移動    辞典の先頭へ

260:ブロック       補助記憶に関してのグループ先頭へ    このページ先頭へ移動    辞典の先頭へ
block (他のキーワードIBG:Inter Block Gap、論理レコード、物理レコードブロック化因数
 対語→論理レコード:応用プログラムによって決められるデータ読み書きの単位

汎用機において、ブロック(または物理レコード)とは、ファイルに対して1回に入出力する単位を言い、ハードディスクをバリアブル方式で管理する場合の用語である。
多くを記憶するメディアの情報を処理する場合、部分的な情報を主記憶のメモリに移動し、それを処理してから、多くの情報を記憶可能なメディアへ移動すると言う手順になる。
この手順で起きる問題点の結論は、情報を区切って出力または入力せざるを得ないことである。
何故なら、この多くの情報を記憶するメディア(磁気ディスクや、磁気テープ)には機械的な仕掛けがあり、書き込みまたは読み込みは、その希望位置までヘッドを進ませて、合ったタイミングで行わせる必要がある。
つまりそのタイミングを取るために、ブロックとブロックの間に隙間が必要になる。このギャップをIBG(ブロック間隔:Inter Block Gap)と呼ぶ。
また、これだけ大変な作業をしなければ、一回の読み込みや書き込みができないので、一回の処理サイズ(ブロックサイズ)ある程度の大きさにしないと効率が悪い。
ハードウェアから見ると、磁気テープ機構でのブロックサイズは自由にできるが、ハードディスクでは下限を決めないとあまりにも効率が悪い。
しかしアプリケーションが1byteの変更をする場合でもブロック単位の処理が必要になり、汎用機では、そうならないようにブロック長を決めないと使用効率が落ちる。
アプリケーション側から見た一つのまとまった情報の単位は、一般にレコード(または論理レコード)と呼ばれる。
コンピュータ初期の段階では、この1レコードが1ブロックに対応していた。これは非ブロック化と呼ばれる。
図1

しかし、半導体メモリの搭載量が増えて、レコードをまとめて、一回のブロックで操作する方法が取られるようになっている。ブロッキング構造
ここで、一つのブロックに含まれるレコード数をブロック化因数と呼ぶ。

図2


よって、ブロックサイズが大きいほど、論理レコードに対するIBG個数が少なくて済むので、記録スペースの利用効率は高くなる。

以上ように、システムが1回のに行う入出力がブロック(物理レコード)となる。そして、主記憶装置とディスク装置の間のデータ転送はブロック単位で転送されている。
(UnixやWindowsでは、上記ブロックに対応する表現は、構造的に異なるで存在しない。無理やり対応させるならば、それぞれクラスタやi-nodeと呼ばれる表現に対応する・・無理矢理です!)
なお、現在の現実的なディスクには、セクタと呼ばれるアクセス単位が、記憶媒体の物理構造に依存する単位として存在するのが普通になっている。
この場合、1セクタの中に複数のブロックを入れる手法が一般的になる。この時、ブロックは論理レコードの集なので、やはり論理レコードサイズを適切ににないと余計なIBGができる。

論理レコードと言う構造が集まったブロックの集合ファイルになっている。
汎用機で言うfileの正確な定義は、この集合の構造をfileと呼び、データ実態(UnixやWindowsで言う所のファイル)をdatasetと呼んで区別している。
UnixやWindowsの世界では、バイト単位でアクセスを可能とする。対して、汎用機では原則として論理レコード内の一部だけをアプリケーションでアクセスする仕組みが存在しない。
その代わり、汎用機ではレコードにアクセスする順序の制御や構造までもがシステムのサービスとして提供されており、この分類はファイル編成と呼ばれている。


262:ブロック化因数       補助記憶に関してのグループ先頭へ    このページ先頭へ移動    辞典の先頭へ
ブロック

570:ブロック状態       C言語のグループ先頭へ    このページ先頭へ移動    辞典の先頭へ
コマンド(命令)が完了するまで待ち状態になることを指す。

一般に入力や出力の同期を取るプログラム部分に、この待ち状態でブロック(block:停止)状態が生じる。
しかし、プログラムによっては一つ待ち状態で、全体が停止してしまうのは好ましくない。そこで非同期命令を用いる方法がある。これはポーリング方式になる。
 また、ブロックによってシステム全体が止まらないように、マルチタスクをを利用する方法もある。

C言語では、これを回避する方法の一つにselect関数を利用する方法がある。
これは、複数のファイル記述子 (file descriptor) を監視し、それらの状態が変化するのを待つ。

int select(int n, fd_set *readfds, fd_set *writefds, fd_set *exceptfds, struct timeval *timeout);

fd_setは『/usr/include/sys/select.h 』で、定義されている構造体で、ファイル記述子を管理するための集合体である。
使い方は、
(1)まずこの集合体(fd_set)をFD_ZEROマクロでゼロでクリアします。
 例 例えば fd_set mask; とmaskの名前で変数が定義される場合、FD_ZERO(&make); とします。

(2)ブロック状態にしたくないファイル記述子を、この集合に登録します。
 例 FD_SET(ファイル記述子1,&mask) ; これで、 ファイル記述子の番号が、maskの集合へ登録したことになる。
   FD_SET(ファイル記述子2,&mask)
(3)selectに、(2)で設定したmask を指定し、maskに登録したファイル記述子の変化を待つ。
   つまり、同時に複数の入出力を待機していることになる。変化が起きたか、タイムアウトでselectは終了する。
 例 select(maskに設定したファイル記述子の最大値+1, &mask, NULL, NULL, NULL);
この場合は、maskに指定したファイル記述子の集合のいずれかの入力が必要になった時点で、selectを終了させる指定になる。
   このように、selectに指定する監視用集合体(fd_set)は、読み込み用、書き込み用、その他例外用に分かれる。
   最後の引数は、selectを有限時間に強制終了させるためのタイマー用パラメタ指定である。

(4)(3)のselectが終了した原因となるファイル記述子をFD_ISSETマクロで調べ、対応するファイル記述子を操作する。
 例 if(FD_ISSET(ファイル記述子2,&mask){ ファイル記述子2を使って読み取り }


286:プロッタ       入出力アーキテクチャのグループ先頭へ    このページ先頭へ移動    辞典の先頭へ
プロッタ (plotter)
ペンを使って図面データを出力する装置
プロッタを制御する言語:ヒューレット・パッカード社のHP-GL(Hewlett-Packard Graphics Language)が業界標準となっている
646:フロッピーディスク       補助記憶に関してのグループ先頭へ    このページ先頭へ移動    辞典の先頭へ
floppy disk(floppy:ぱたぱたした、Disk:円盤)

補助記憶媒体の一つで、磁性体を塗布した一枚の円盤とそれを保護するケースで構成され、エンブローブと呼ぶ保管袋で管理します。

サイズとして、次の種類があるようですが、現在では3.5インチ以外を見かけなくなりました。

8 インチ
5.25 インチ
3.5 インチ
2 インチ

ディスク名称で分類すると次のようになります。


1S 片面単密度
1D 片面倍密度
2D 両面倍密度
2DD 両面倍密度倍トラック
2HD /2HC 両面高密度
DMF Distribution Media Format
2ED 両面高密度

しかし同じディスクでも、フォーマットの違いにより様々な使い方が存在します(他にもあるでしょう)。

名称  フォーマット side/track/sector/byte 容量
1S  IBM  1/?/26/128  -
1D  DOS  1/40/9/512  180k
1D  ヽ  1/40/18/256  180k
1D  Mac  1/80/8-12/512  400k
1D  Apple II  1/35/16/256  140k
1D  Tandy  1/35/18/256  157k
1D  Commodore  1/35/17-21/256  170k
2D  DOS  2/40/8/512  320k
2D  ヽ   2/40/9/512  360k
2D  Tandy  2/40/18/256  360k
2DD  DOS   2/80/8/512  640k
2DD  ヽ   2/80/9/512  720k
2DD  ヽ  2/80/8-12/512  800k
2DD  Amiga  2/80/11/512  880k
2HD  PC-DOS  2/80/15/512  1.2M
2HD  PC-98  2/80/8/1024  1.25M
2HD  DOS/V  2/80/18/512  1.44M
DMF  -  2/?/?/?  1.7M
2ED  -  2/?/?/?  2.88M


以下に2HDをコマンドプロンプトで、フォーマットする例を示します。
format a: /U /F:1440

C:WORK>format a: /U /F:1440
新しいディスクをドライブ A: に挿入してください
準備ができたら Enter キーを押してください...
ファイル システムの種類は FAT です。
照合しています  1.44M バイト
ファイル アロケーション テーブル (FAT) を初期化しています...
ボリューム ラベルを入力してください。
(半角で 11 文字、全角で 5 文字以内)
必要なければ、Enter キーを押してください:
フォーマットは完了しました。

    1,457,664 バイト : 全ディスク領域
    1,457,664 バイト : 使用可能ディスク領域

          512 バイト : アロケーション ユニット サイズ
        2,847 個     : 利用可能アロケーション ユニット

           12 ビット : FAT エントリ

ボリューム シリアル番号は 3C94-8033 です

別のディスクをフォーマットしますか (Y/N)?N
C:WORK>

以上は、2HDフロッピーに対して、以下のコマンドと同じになります。
format a: /U /T:80 /N:18
(1.44MB、512バイト/セクタの指定で、/U /T:80 /N:18を記述しないデフォルトの指定になっています。)

また、2DDで740KB、512セクタの場合は、次コマンドになります。
format a: /U /T:80 /N:9




456:プロトコル       伝送制御の理論・プロトコルのグループ先頭へ    このページ先頭へ移動    辞典の先頭へ
protocol
データ通信をおこなうため、情報送信フォーマット、通信手順、誤り検出法などを定めた規約(規則)

通信の工程を考えると大雑把に「内容」「表現」「伝送物」「伝送」と分けられる。
各工程で行うべ段階で必要な規則は、次のようになるであろう。

内容  明瞭に・簡潔に、
表現  相手がわかる言葉で書く
伝送物 便箋・封筒、切手の使い方(宛名の書き方など)
伝送  宛先までの道を決定するして、運搬する。



参考 WindowsXPでは、一般的に『C:\WINDOWS\system32\drivers\etc』の中に、protocolのファイルが存在して、そこに通信で使うプロトコルの番号が記載されています。
この番号は、プロトコル番号と呼ばれて、トランスポート層のネットワーク・プロトコルにおいて使われています。

660:プロトコルスタック       伝送制御の理論・プロトコルのグループ先頭へ    このページ先頭へ移動    辞典の先頭へ

HTTPの場合、一番下にネットワークカードを制御するデバイスドライバがあり、
その上にEthernetフレームなどを制御するデータリンク層ソフトウェア
その上にIPなどのネットワーク層を実装したソフトウェアがあり、
その上にTCPのトランスポート層があり、
それを利用してHTTPソフトウェアが積まれる形になっています。

このようにネットワーク上である機能を実現するために必要なプロトコルを選び、階層状に積み上げたソフトウェア群をプロトコルスタックと呼びます。


603:プロポーザル       システム運用に関してのグループ先頭へ    このページ先頭へ移動    辞典の先頭へ
proposal 直訳:申し込み、申し出、提案、提議、計画

プロポーザル方式
設計を委託するうえでもっとも適した「人(設計者)」を選ぶ方式の一つです。
各人に、技術力や経験、プロジェクトにのぞむ体制などを含めたプロポーザル(提案書)を提出してもらい、それをもとに設計者を選ぶ方式です。


181:プロポーショナルフォント       情報システム基盤の標準化のグループ先頭へ    このページ先頭へ移動    辞典の先頭へ
propotional font

文字ごとに最適な幅を設定したフォント 明朝、ゴシック

対語:どの文字も同じ幅で表示されるフォントを等幅フォント(固定幅フォント)という
183:分散処理システム       システム構成技術のグループ先頭へ    このページ先頭へ移動    辞典の先頭へ
システム構成による分類方法の一つで、集中処理システムの対語として呼ばれる名前。


232:分布グラフ       経営管理のグループ先頭へ    このページ先頭へ移動    辞典の先頭へ
互いに関連のある二つの項目を縦軸と横軸にとって,相互に比較したい対象をプロットし,対象物の分布状況を見るときに使う。