sin波の合成で任意の周期的な波形を作ることができます。
言い替えると、デジタル波形は、「たくさんsin波を含んだもの」と言えます。
下で、その実験ををしてください。
目標に近い波形ができたら評価ボタンをクリックします。成功すると「次の指示のページ」へ進めます。
「追加波形の式」の
のセレクタで選んだ波形を
のボタンで合成し、
デジタル波形に近い波形を作ってください。
やり直す場合はをクリックしてください。
下に上の波形を合成波形を表示します。
←上で、下の目標波形が得られたら、評価ボタンをクリックしてください

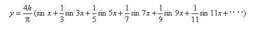
この波形は、振幅が2h 周期が2πの方形波で、次の式で8項まで合成したものです。